EXCLUSIV/EVENIMENTUL RUTIER DIN COMUNA SECĂRIA ARE IMPLICAȚII MULT MAI GRAVE

0
1125

În urma investigațiilor efectuate de Departamentul de Investigații al ziarului Incisiv de Prahova au fost identificate numerele de telefonie mobilă ale primarului și viceprimarului comunei Secăria. Astfel am aflat că, din păcate, cei doi conducători nu sunt pe aceeași lungime de undă dar, în schimb, își recunosc vina (din calitatea de edili) de a nu marca cu semne rutiere, corespunzător, toate drumurile comunei.

După ce a fost făcut public faptul că Primăria Secăria, județul Prahova, nu a răspuns solicitărilor ziarului Incisiv de Prahova și discuțiilor telefonice atât cu: primarul, viceprimarul și secretarul comunei Secăria se constată faptul că și în acest colț de Românie sunt o mulțime de probleme bazate pe veșnica problemă: sărăcie, lipsă fonduri, lipsă de personal. Cu toate aceste probleme, legea e una și aceeași pentru toți… zicem noi, cei din redacția Incisiv de Prahova.

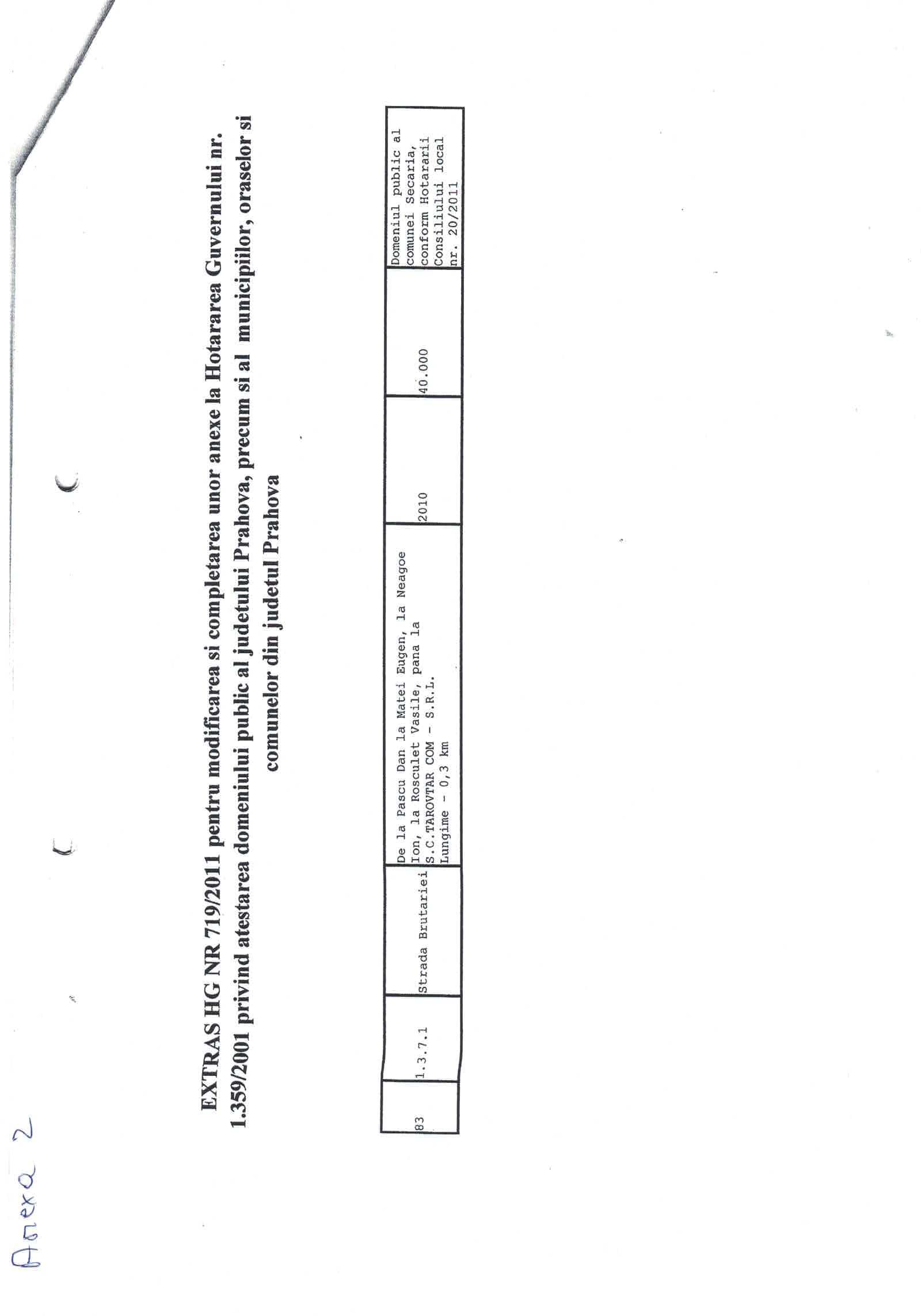
Astfel, Primăria Secăria recunoaște că nu a respectat prevederile alineatului (6) al articolului 45 din Legea nr.50/1991 privind autorizarea executării lucrărilor de construcții: „(6) Pentru constituirea băncii de date, toți posesorii de rețele tehnico-edilitare supra- și subterane sunt obligați ca, în termen de 60 de zile de la intrarea în vigoare a prezentei legi, să transmită administrației publice județene și a municipiului București planurile cadastrale cuprinzând traseele rețelelor existente pe teritoriul județului și al localităților, respectiv al municipiului București.”, în speță: retele de semaforizare pentru vehicule si pietoni pentru toate drumurile publice din comuna Secăria. Însă, nefiind aceste drumuri prevăzute în planul cadastral, bineînțeles că nu au putut fi semaforizate corespunzător. De fapt, Primăria Secăria ne spune că „încă se merge așa, cum s-a stabilit în 1970 când ar fi luat ființă aceste drumuri”. Astfel, primăria Secăria susține că locul în care s-a petrecut evenimentul rutier din data de 10.09.2018 reprezintă intersecția străzilor: Brutăriei cu Principală și „o stradă fără nume” (adică, un drum inexistent… dar care „e drum public”). În aceste condiții în care un drum public nu are nicio denumire iar rețeaua de drumuri inter-comunale nu este înregistrată în evidențele cadastrale oare cum s-au efectuat și continuă să se efectueze „lucrări de reparații/consolidare/modernizare”?

În atare condiții, este de domeniul evidenție că „administratorul drumurilor” din comuna Secăria nu avea cum să respecte prevederile alineatelor 4 și 5 ale articolului 30, 33 alineatul (1) și 128 din OUG nr.195/2002 privind circulația pe drumurile publice: (4) Mijloacele de semnalizare rutieră, precum și alte dispozitive speciale de acest fel se asigură, se instalează și se întrețin prin grija administratorului drumului public respectiv ori al căii ferate, după caz. Instalarea mijloacelor de semnalizare rutieră și a dispozitivelor speciale se execută numai cu avizul prealabil al poliției rutiere.(5) Mijloacele de semnalizare și presemnalizare a intersecțiilor dintre două drumuri de categorii diferite se asigura, se instalează și se întrețin de către administratorul fiecărui drum, cu respectarea modului de reglementare a circulației stabilit în nodul rutier respectiv.; Articolul 33(1) Semnalizarea și amenajările rutiere necesare pe drumurile publice se asigură de către administratorul drumului respectiv și se efectuează numai cu avizul poliției rutiere; Articolul 128(1) Autoritățile administrației publice locale au următoarele atribuții:a) iau măsuri pentru menținerea permanentă în stare tehnică bună a drumurilor pe care le administrează, precum și pentru iluminarea corespunzătoare a acestora, conform legii;b) iau măsuri pentru instalarea, aplicarea și întreținerea mijloacelor de semnalizare rutieră și a echipamentelor destinate siguranței circulației, conform standardelor în vigoare, ținând evidența acestora;c) întocmesc și actualizează planurile de organizare a circulației pentru localitățile urbane și iau măsuri pentru realizarea lucrărilor ce se impun în vederea asigurării fluentei și siguranței traficului, precum și a reducerii nivelurilor de emisii poluante, cu avizul poliției rutiere;d) stabilesc reglementari referitoare la regimul de acces și circulație, staționare și parcare pentru diferite categorii de vehicule, cu avizul poliției rutiere;e) iau măsuri pentru amenajarea de trotuare și drumuri laterale pentru circulația pietonilor, vehiculelor cu tracțiune animala, a tractoarelor, de piste pentru biciclete, precum și de benzi destinate exclusiv transportului public de persoane pe drumurile pe care le administrează, cu avizul poliției rutiere;f) înregistrează și țin evidența vehiculelor nesupuse înmatriculării;g) iau măsuri pentru ridicarea și depozitarea, în spații special amenajate, a autovehiculelor, remorcilor, caroseriilor sau subansamblurilor acestora, devenite improprii din punct de vedere tehnic pentru a circula pe drumurile publice, abandonate sau părăsite pe domeniul public;h) iau măsuri pentru asigurarea spațiului și depozitarii vehiculelor cu tracțiune animală, depistate circulând pe drumurile publice pe care le este interzis accesul;i) sprijină activitățile organizate de Ministerul Educației, Cercetării, Tineretului și Sportului și de Ministerul Afacerilor Interne pentru educația rutieră a elevilor.(2) Proiectele de sistematizare a localităților, de reglementare a circulației, precum și a drumurilor publice din interiorul și din afara acestora, elaborate de autoritățile publice locale, vor fi avizate de șeful poliției rutiere a județului, municipiului București sau, după caz, al poliției rutiere din Inspectoratul General al Poliției Române. și nici să asigure, în bune condiții, starea drumurilor „existente în planul comunei Secăria” conform prevederilor Legii administrației publice locale nr.215/2001.

Iată că în acest caz, „administratorul drumurilor” (Consiliul Local Secăria) trebuia sancționat de poliția rutieră Prahova conform articolului 105 din OUG nr.195/2002: Constituie contravenții și se sancționează cu amenda prevăzută în clasa a V-a de sancțiuni următoarele fapte săvârșite de către persoane juridice:1. nesemnalizarea sau semnalizarea necorespunzătoare a drumului public sau a trecerilor la nivel cu calea ferată, conform standardelor în vigoare; neînlăturarea obstacolelor care împiedică vizibilitatea conducătorilor de vehicule la trecerile la nivel cu calea ferată; 2. neîndeplinirea obligațiilor de instalare a mijloacelor de semnalizare rutieră, precum și a dispozitivelor speciale de acest fel; 20. neîndeplinirea obligației, de către autoritățile publice locale, de a efectua amenajări rutiere destinate circulației pietonilor, bicicliștilor, vehiculelor cu tracțiune animală și calmării traficului, precum și nesemnalizarea sau semnalizarea necorespunzătoare a acestora”.

      O dovadă ce nu poate fi de nimeni contestată că evenimentul rutier de la Secăria s-a petrecut cu precădere din cauza nesemnalizării corespunzătoare (recunoscută dealtfel de cei doi edili) este prevăzută și de articolul 16 alineatul (1) din OUG nr.43/1997 : Zonele de siguranță sunt suprafețe de teren situate de o parte și de cealaltă a amprizei drumului, destinate exclusiv pentru semnalizarea rutieră, pentru plantație rutieră sau alte scopuri legate de întreținerea și exploatarea drumului, pentru siguranța circulației ori pentru protecția proprietăților situate în vecinătatea drumului. Din zonele de siguranță fac parte și suprafețele de teren destinate asigurării vizibilității în curbe și intersecții, precum și suprafețele ocupate de lucrările de consolidări ale terenului drumului și altele asemenea. În afara localităților, limitele minime ale zonelor de siguranță a drumurilor, în cale curentă și aliniament, sunt prevăzute în anexa nr. 1 la prezenta ordonanță.

Însă, Manea Vladimir, Primăria Secăria, au avut mereu „alte treburi” decât înregistrarea drumurilor în evidențele cadastrale și semnalizarea corespunzătoare a acestora. Poate că, dacă Primăria Secăria și Poliția Rutieră Prahova își făceau treaba, evenimentul rutier din 10 septembrie 2018 putea fi evitat și nimeni nu mai era rănit, evitându-se astfel conflictele juridice.

Suntem foarte interesați de verificările procurorilor Tribunalului Prahova în acest dosar fiindcă, în opinia Reacției Incisiv de Prahova, atribuțiile șefului de post de la Secăria constau și în aplicarea corectă a Legii (implicit sesizarea instituțiilor abilitate cu privire la circulația defectuoasă de pe drumurile din comuna Secăria).

Alexandru Firicel – șef Departament Investigații

 

 

 

Articolul EXCLUSIV/EVENIMENTUL RUTIER DIN COMUNA SECĂRIA ARE IMPLICAȚII MULT MAI GRAVE apare prima dată în Ziarul Incisiv de Prahova.

LĂSAȚI UN MESAJ

Please enter your comment!
Please enter your name here